PIXCELL BIOM™ BỘT DỊU DA SIÊU PHỤC HỒI
Những thay đổi đáng kinh ngạc trong hệ vi khuẩn trên da, Bột men vi sinh sống PixelBiome™**
-
Xác định hệ vi sinh vật trên da bằng công nghệ phân tích bộ gen mới nhất*
-
Công nghệ ủ Lactobacillus sống Purcell Reader**
-
Hệ thống pha trộn vi khuẩn axit lactic tối ưu được cấp bằng sáng chế
** Kiểm tra đánh giá và xác định hệ vi khuẩn trên da cho ‘PixelBiome™ Booster Shot Powder’
** Bifida, nghĩa là Lactobacillus lysate (vi tinh thể có nguồn gốc từ vi khuẩn sống)
/ Số đăng ký bằng sáng chế 10-2123022 *** Số đơn xin cấp bằng sáng chế 10-2024-0063273
Bối cảnh phát triển
Live PixelBiome™, nguồn vi khuẩn axit lactic cô đặc không cần nước
* Bifida, nghĩa là Lactobacillus lysate (vi tinh thể có nguồn gốc từ vi khuẩn sống) / Số đăng ký bằng sáng chế 10-2123022
Thành phần hoạt tính
Đỉnh cao của nghiên cứu men vi sinh Purcell, một hệ thống pha trộn men vi sinh độc quyền *
Probiotics
Bifidobacteria longum (KCCM1234P), Lactobacillus rhamnosus (KCCM12346P)
prebiotic
Fructooligosaccharides, galactooligosaccharides
Hệ vi sinh vật trên da Cải thiện cấu trúc da**
* Bifida, nghĩa là Lactobacillus lysate (vi tinh thể có nguồn gốc từ vi khuẩn sống) / Số đăng ký bằng sáng chế 10-2123022
*Đơn xin cấp bằng sáng chế số 10-2024-0063273
**Cải thiện cấu trúc da thông qua việc cải thiện hàng rào bảo vệ, dưỡng ẩm, độ trong suốt, độ bóng và cải thiện kết cấu da.
Những thành tựu nghiên cứu và công nghệ độc đáo của Purcell được thể hiện qua sự cống hiến cho hệ vi sinh vật.
Trình độ công nghệ của Purcell một lần nữa được công nhận tại hội nghị học thuật về mỹ phẩm lớn nhất Hàn Quốc .
*Hội nghị mùa xuân năm 2024 của Hiệp hội các nhà khoa học mỹ phẩm Hàn Quốc
Giải quyết nguyên nhân gốc rễ của hàng rào bảo vệ da .
Sử dụng công nghệ phân tích bộ gen mới nhất (Metagenome seq),
chúng tôi đã xác định được các đặc điểm và mối tương quan của hệ vi sinh vật trên da của 2060 phụ nữ Hàn Quốc và xác nhận những thay đổi đáng kể trong hệ vi sinh vật trên da trước và sau khi sử dụng sản phẩm .
Cơ chế 01
Tăng 52% sự đa dạng của hệ vi sinh vật trên da
Vi khuẩn trên da càng đa dạng và nhiều thì
hệ vi sinh vật trên da càng khỏe mạnh*.
*Đây là mỹ phẩm, không phải dược phẩm. Hiệu quả thực tế có thể khác nhau.
*”Purcell PixelBiome Booster Shot”: Xác nhận hệ vi sinh vật trên da qua ứng dụng trên người 24 tháng 6, 2013 / 33 nam và nữ, độ tuổi 20-60 / Viện Nghiên cứu Da liễu Hu&Biome & MariDM
*Chapman, C.M.C., Gibson, G.R. & Rowland, I. Lợi ích sức khỏe của men vi sinh: Liệu hỗn hợp có hiệu quả hơn các chủng riêng lẻ?. Eur J Nutr 50, 1–17 (2011). https://doi.org/10.1007/s00394-010-0166-z

Cơ chế 02
Tăng gấp 4,8 lần hệ vi khuẩn trên da

*Vì đây là sản phẩm mỹ phẩm, không phải thuốc nên hiệu quả thực tế có thể khác nhau.
*Ứng dụng “Purcell PixelBiome Booster Shot” trên người để xác nhận hệ vi sinh vật da / 13 tháng 6 năm 2024 / Đối tượng: 33 nam và nữ, độ tuổi từ 20-60 / Viện Nghiên cứu Da liễu Hu&Biome & MarieDM
Cơ chế 03
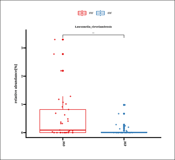
Giảm 85% vi sinh vật làm suy yếu hàng rào bảo vệ da
Nó làm giảm Lawsonella clevelandensi, một loại vi sinh vật cản trở quá trình sản xuất độ ẩm của da, do đó
làm tăng khả năng giữ ẩm của da.
Phân tích đa dạng Alpha và phân loại đã xác nhận sự giảm 85% của
Lawsonella clevelandensi ở
các đối tượng tuần 0 và 4W.
*Nội dung nghiên cứu: Đo đoạn khuếch đại toàn phần 16S của mẫu vi sinh vật trên da 24.03.18~24.06.14 / Phụ nữ trong độ tuổi từ 20 đến 60 / Công ty TNHH Huum Biome / Công ty TNHH MariDM
*Hiệu quả thực tế có thể khác với kết quả xét nghiệm so sánh hệ vi sinh vật trước và sau khi sử dụng mỹ phẩm.
*Kim, Ji-Hee, et al. “Phân loại hệ vi sinh vật trên da và mối tương quan với các thông số lâm sàng về da ở người Hà

| Hệ vi sinh vật trên da | Tuần | Giá trị |
|---|---|---|
| Lawsonella clevelandensis | 0,562 | 0,076 |
Hiệu quả 01
Men vi sinh sống mạnh mẽ* có tác dụng kéo dài 72 giờ
Trước khi quản lý

12 giờ sau khi dùng thuốc

72 giờ sau khi dùng thuốc

*Nội dung nghiên cứu: Xác nhận hiệu quả cải thiện các vùng được hình thành bởi kích thích bên ngoài
*Đơn xin cấp bằng sáng chế số 10-2024-0063273
*Giới hạn ở đặc điểm nguyên liệu thô
*Bifida, nghĩa là Lactobacillus lysate (vi tinh thể có nguồn gốc từ vi khuẩn sống
Hiệu quả 02
Hiệu ứng cải thiện rào cản bậc không mạnh mẽ giúp bảo vệ chống lại các kích thích bên ngoài

*Đánh giá hiệu quả cải thiện làn da và làm dịu da của ‘Purcell 2 tỷ/mL Pixelbiome concentrate’ và ‘Purcell Pixelbiome booster shot’ 18 tháng 3 năm 2024 – 12 tháng 4 năm 2024 / 21 phụ nữ từ 25 đến 59 tuổi / Viện nghiên cứu da liễu Marie DM
Phần kết luận
Xác nhận hiệu quả cải thiện hệ vi sinh vật trên da bằng cách đề xuất tỷ lệ vi sinh vật trên da phù hợp
Hỗn hợp đặc biệt của Purcell gồm các vi khuẩn axit lactic sống* giúp cô đặc làn da để tạo ra hệ sinh thái cân bằng .
Bifida, nghĩa là Lactobacillus lysate (vi tinh thể có nguồn gốc từ vi khuẩn sống)

Khi sử dụng cùng nhau,
hiệu quả sẽ kéo dài hơn và
mạnh hơn.
Nồng độ PixelBiome™ 2 tỷ/mL
BOOSTER !
!Bột tăng cường PixelBiome™

